Markov Decision Process
Professur für Künstliche Intelligenz - Fakultät für Informatik

The environment is fully observable, i.e. the current state s_t completely characterizes the process at time t (Markov property).
Actions a_t provoke transitions between the two states s_t and s_{t+1}.
State transitions (s_t, a_t, s_{t+1}) are governed by transition probabilities p(s_{t+1} | s_t, a_t).
A reward r_{t+1} is (probabilistically) associated to each transition .
n-armed bandits are MDPs with only one state.
MDPs are extensions of the Markov Chain (MC).

A first-order Markov chain (or Markov process) is a stochastic process generated by a sequence of transitions between states governed by state transition probabilities.
A Markov chain is defined by:
The state set \mathcal{S} = \{ s_i\}_{i=1}^N.
The state transition probability function:
\begin{aligned} \mathcal{P}: \mathcal{S} \rightarrow & P(\mathcal{S}) \\ p(s' | s) & = P (s_{t+1} = s' | s_t = s) \\ \end{aligned}
Markov chains can be used to sample complex distributions (Markov Chain Monte Carlo) and have applications in many fields such as biology, chemistry, financem etc.
A Markov Decision Process is a MC where transitions are conditioned by actions a \in \mathcal{A} and associated with a scalar reward r.
A finite MDP is defined by the tuple <\mathcal{S}, \mathcal{A}, \mathcal{P}, \mathcal{R}, \gamma>:
The finite state set \mathcal{S} = \{ s_i\}_{i=1}^N with the Markov property.
The finite action set \mathcal{A} = \{ a_i\}_{i=1}^M.
The state transition probability function:
\begin{aligned} \mathcal{P}: \mathcal{S} \times \mathcal{A} \rightarrow & P(\mathcal{S}) \\ p(s' | s, a) & = P (s_{t+1} = s' | s_t = s, a_t = a) \\ \end{aligned}
\begin{aligned} \mathcal{R}: \mathcal{S} \times \mathcal{A} \times \mathcal{S} \rightarrow & \Re \\ r(s, a, s') &= \mathbb{E} (r_{t+1} | s_t = s, a_t = a, s_{t+1} = s') \\ \end{aligned}

The future is independent of the past given the present.
\begin{aligned} P( s_{t+1} = s', r_{t+1} = r & | s_t, a_t, r_t, s_{t-1}, a_{t-1}, ..., s_0, a_0) = P( s_{t+1} = s', r_{t+1} = r | s_t, a_t ) \\ &\text{for all s', r, and past histories} \quad (s_{t}, a_{t}, ..., s_0, a_0) \end{aligned}
The knowledge of the current state s_t (and the executed action a_t) is enough to predict in which state s_{t+1} the system will be at the next time step.
We do not need the whole history \{s_0, a_0, s_1, a_1, \ldots, s_t\} of the system to predict what will happen.
Note: if we need s_{t-1} and s_t to predict s_{t+1}, we have a second-order MDP.

For example, the probability 0.8 of transitioning from “Class 2” to “Class 3” is the same regardless we were in “Class 1” or “Pub” before.
If this is not the case, the states are not Markov, and this is not a Markov chain / decision process.
We would need to create two distinct states:
“Class 2 coming from Class 1”
“Class 2 coming from the pub”
Where is the ball going? To the little girl or to the player?
Single video frames are not Markov states: you cannot generally predict what will happen based on a single image.
A simple solution is to stack or concatenate multiple frames:
In a POMDP, the agent does not have access to the true state s_t of the environment, but only observations o_t.
Observations are partial views of the state, without the Markov property.
The dynamics of the environment (transition probabilities, reward expectations) only depend on the state, not the observations.
The agent can only make decisions (actions) based on the sequence of observations, as it does not have access to the state directly (Plato’s cavern).
s_t = (o_0, a_0, o_1, a_1, \ldots, a_{t-1}, o_t)


\sum_{s'} p(s' | s) = 1
r(s, a, s') = \mathbb{E} (r_{t+1} | s_t = s, a_t = a, s_{t+1} = s')

An important distinction in practice is sparse vs. dense rewards.
Sparse rewards take non-zero values only during certain transitions: game won/lost, goal achieved, timeout, etc.
Dense rewards provide non-zero values during each transition: distance to goal, energy consumption, speed of the robot, etc.
MDPs with sparse rewards are much harder to learn.
p(s' | s, a) = P (s_{t+1} = s' | s_t = s, a_t = a)
Some RL tasks are deterministic: an action a in a state s always leads to the state s':
Others are stochastic: the same action a can lead to different states s':
Casino games (throwing a dice, etc)
Two-opponent games (the next state depends on what the other player chooses).
Uncertainty (shoot at basketball, slippery wheels, robotic grasping).
For a transition (s, a, s'), the received reward can be also stochastic:
r(s, a, s') = \mathbb{E} (r_{t+1} | s_t = s, a_t = a, s_{t+1} = s')
s_0 \rightarrow s_1 \rightarrow s_2 \rightarrow \ldots \rightarrow s_T
and collect a sequence of rewards:
r_1 \rightarrow r_2 \rightarrow r_3 \rightarrow \ldots \rightarrow r_{T}


R_t = r_{t+1} + \gamma \, r_{t+2} + \gamma^2 \, r_{t+3} + \ldots = \sum_{k=0}^\infty \gamma^k \, r_{t+k+1}
R_t = r_{t+1} + \gamma \, r_{t+2} + \gamma^2 \, r_{t+3} + ... = \sum_{k=0}^{\infty} \gamma^k \, r_{t+k+1}

R(\tau) = \sum_{t=0}^{T} \gamma^t \, r_{t+1}

R_t = r_{t+1} + \gamma \, r_{t+2} + \gamma^2 \, r_{t+3} + \ldots = \sum_{k=0}^\infty \gamma^k \, r_{t+k+1}
The discount factor (or discount rate, or discount) \gamma \in [0, 1] is a very important parameter in RL:
It defines the present value of future rewards.
Receiving 10 euros now has a higher value than receiving 10 euros in ten years, although the reward is the same: you do not have to wait.
The value of receiving a reward r after k+1 time steps is \gamma^k \, r.
\gamma determines the relative importance of future rewards for the behavior:
if \gamma is close to 0, only the immediately available rewards will count: the agent is greedy or myopic.
if \gamma is close to 1, even far-distance rewards will be taken into account: the agent is farsighted.

R_t = r_{t+1} + \gamma \, r_{t+2} + \gamma^2 \, r_{t+3} + \ldots = \sum_{k=0}^\infty \gamma^k \, r_{t+k+1}


R_t = \sum_{k=0}^{T} r_{t+k+1}
R_t = \sum_{k=0}^{\infty} \gamma^k \, r_{t+k+1}
Selecting the action a_1 in s_1 does not bring reward immediately (r_1 = 0) but allows to reach s_5 in the future and get a reward of 10.
Selecting a_2 in s_1 brings immediately a reward of 1, but that will be all.
a_1 is better than a_2, because it will bring more reward on the long term.
R = 0 + \gamma \, 0 + \gamma^2 \, 0 + \gamma^3 \, 10 + \ldots = 10 \, \gamma^3
while it is R= 1 for the action a_2.
For small values of \gamma (e.g. 0.1), 10\, \gamma^3 becomes smaller than one, so the action a_2 leads to a higher discounted return.
The discount rate \gamma changes the behavior of the agent. It is usually taken somewhere between 0.9 and 0.999.

State: Position and velocity of the cart, angle and speed of the pole.
Actions: Commands to the motors for going left or right.
Reward function: Depends on whether we consider the task as episodic or continuing.
Episodic task where episode ends upon failure:
reward = +1 for every step before failure, 0 at failure.
return = number of steps before failure.
Continuing task with discounted return:
reward = -1 at failure, 0 otherwise.
return = - \gamma^k for k steps before failure.

\begin{align} \pi &: \mathcal{S} \times \mathcal{A} \rightarrow P(\mathcal{S})\\ (s, a) &\rightarrow \pi(s, a) = P(a_t = a | s_t = s) \\ \end{align}
The goal of an agent is to find a policy that maximizes the sum of received rewards on the long term, i.e. the return R_t at each each time step.
This policy is called the optimal policy \pi^*.
\pi^* = \text{argmax} \, \mathcal{J}(\pi) = \text{argmax} \, \mathbb{E}_{\tau \sim \rho_\pi} [R(\tau)]
RL is an adaptive optimal control method for Markov Decision Processes using (sparse) rewards as a partial feedback.
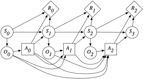
At each time step t, the agent observes its Markov state s_t \in \mathcal{S}, produces an action a_t \in \mathcal{A}(s_t), receives a reward according to this action r_{t+1} \in \Re and updates its state: s_{t+1} \in \mathcal{S}.

The agent generates trajectories \tau = (s_0, a_0, r_1, s_1, a_1, \ldots, s_T) depending on its policy \pi(s ,a).
The return of a trajectory is the (discounted) sum of rewards accumulated during the sequence: R(\tau) = \sum_{t=0}^{T} \gamma^t \, r_{t+1}
The goal is to find the optimal policy \pi^* (s, a) that maximizes in expectation the return of each possible trajectory under that policy:
\pi^* = \text{argmax} \, \mathcal{J}(\pi) = \text{argmax} \, \mathbb{E}_{\tau \sim \rho_\pi} [R(\tau)]
A central notion in RL is to estimate the value (or utility) of every state and action of the MDP.
The value of a state V^{\pi} (s) is the expected return when starting from that state and thereafter following the agent’s current policy \pi.
The state-value function V^{\pi} (s) of a state s given the policy \pi is defined as the mathematical expectation of the return after that state:
V^{\pi} (s) = \mathbb{E}_{\rho_\pi} ( R_t | s_t = s) = \mathbb{E}_{\rho_\pi} ( \sum_{k=0}^{\infty} \gamma^k r_{t+k+1} |s_t=s )

V^{\pi} (s) = \mathbb{E}_{\rho_\pi} ( R_t | s_t = s) = \mathbb{E}_{\rho_\pi} ( \sum_{k=0}^{\infty} \gamma^k r_{t+k+1} |s_t=s )
The mathematical expectation operator \mathbb{E}(\cdot) is indexed by \rho_\pi, the probability distribution of states achievable with \pi.
Several trajectories are possible after the state s:
The state transition probability function p(s' | s, a) leads to different states s', even if the same actions are taken.
The expected reward function r(s, a, s') provides stochastic rewards, even if the transition (s, a, s') is the same.
The policy \pi itself is stochastic.
Only rewards that are obtained using the policy \pi should be taken into account, not the complete distribution of states and rewards.

V^{\pi} (s) = \mathbb{E}_{\rho_\pi} ( R_t | s_t = s) = \mathbb{E}_{\rho_\pi} ( \sum_{k=0}^{\infty} \gamma^k r_{t+k+1} |s_t=s )
The value of taking an action a in a state s under policy \pi is the expected return starting from that state, taking that action, and thereafter following the following \pi.
The action-value function for a state-action pair (s, a) under the policy \pi (or Q-value) is defined as:
\begin{align} Q^{\pi} (s, a) & = \mathbb{E}_{\rho_\pi} ( R_t | s_t = s, a_t =a) \\ & = \mathbb{E}_{\rho_\pi} ( \sum_{k=0}^{\infty} \gamma^k r_{t+k+1} |s_t=s, a_t=a) \\ \end{align}

Notations can vary depending on the source.
The ones used in this course use what you can read in most modern deep RL papers (Deepmind, OpenAI), but beware that you can encounter G_t for the return…
| This course | Sutton and Barto 1998 | Sutton and Barto 2017 | |
|---|---|---|---|
| Current state | s_t | s_t | S_t |
| Selected action | a_t | a_t | A_t |
| Sampled reward | r_{t+1} | r_{t+1} | R_{t+1} |
| Transition probability | p(s' | s,a) | \mathcal{P}_{ss'}^a | p(s'|s, a) |
| Expected reward | r(s,a, s') | \mathcal{R}_{ss'}^a | r(s, a, s') |
| Return | R_t | R_t | G_t |
| State value function | V^\pi(s) | V^\pi(s) | v_\pi(s) |
| Action value function | Q^\pi(s, a) | Q^\pi(s, a) | q_\pi(s, a) |
V^{\pi}(s) = \mathbb{E}_{a \sim \pi(s,a)} [Q^{\pi} (s, a)] = \sum_{a \in \mathcal{A}(s)} \pi(s, a) \, Q^{\pi} (s, a)

If the policy \pi is deterministic (the same action is chosen every time), the value of the state is the same as the value of that action (same expected return).
If the policy \pi is stochastic (actions are chosen with different probabilities), the value of the state is the weighted average of the value of the actions.
If the Q-values are known, the V-values can be found easily.
\begin{aligned} R_t &= r_{t+1} + \gamma \, r_{t+2} + \gamma^2 \, r_{t+3} + \dots + \gamma^k \, r_{t+k+1} + \dots \\ &= r_{t+1} + \gamma \, ( r_{t+2} + \gamma \, r_{t+3} + \dots + \gamma^{k-1} \, r_{t+k+1} + \dots) \\ &= r_{t+1} + \gamma \, R_{t+1} \\ \end{aligned}
\mathbb{E}_{\rho_\pi}[R_t] = r(s_t, a_t, s_{t+1}) + \gamma \, \mathbb{E}_{\rho_\pi}[R_{t+1}]
Q^{\pi}(s_t, a_t) = r(s_t, a_t, s_{t+1}) + \gamma \, V^{\pi} (s_{t+1})
Q^{\pi}(s, a) = \mathbb{E}_{s' \sim p(s'|s, a)} [ r(s, a, s') + \gamma \, V^{\pi} (s') ] = \sum_{s' \in \mathcal{S}} p(s' | s, a) \, [ r(s, a, s') + \gamma \, V^{\pi} (s') ]

The value of an action depends on:
the states s' one can arrive after the action (with a probability p(s' | s, a)).
the value of that state V^{\pi} (s'), weighted by \gamma as it is one step in the future.
the reward received immediately after taking that action r(s, a, s') (as it is not included in the value of s').
\begin{aligned} V^{\pi}(s) &= \sum_{a \in \mathcal{A}(s)} \pi(s, a) \, Q^{\pi} (s, a)\\ &= \sum_{a \in \mathcal{A}(s)} \pi(s, a) \, \sum_{s' \in \mathcal{S}} p(s' | s, a) \, [ r(s, a, s') + \gamma \, V^{\pi} (s') ] \end{aligned}
This equation is called the Bellman equation for V^{\pi}.
It expresses the relationship between the value of a state and the value of its successors, depending on the dynamics of the MDP (p(s' | s, a) and r(s, a, s')) and the current policy \pi.
The interesting property of the Bellman equation for RL is that it admits one and only one solution V^{\pi}(s).
\begin{aligned} Q^{\pi}(s, a) &= \sum_{s' \in \mathcal{S}} p(s' | s, a) \, [ r(s, a, s') + \gamma \, V^{\pi} (s') ] \\ &= \sum_{s' \in \mathcal{S}} p(s' | s, a) \, [ r(s, a, s') + \gamma \, \sum_{a' \in \mathcal{A}(s')} \pi(s', a') \, Q^{\pi} (s', a')] \end{aligned}
which is called the Bellman equation for Q^{\pi}.

The optimal policy is the policy that gathers the maximum of reward on the long term.
Value functions define a partial ordering over policies:
Partial ordering
A policy \pi is better than another policy \pi' if its expected return is greater or equal than that of \pi' for all states s.
\pi \geq \pi' \Leftrightarrow V^{\pi}(s) \geq V^{\pi'}(s) \quad \forall s \in \mathcal{S}
For a MDP, there exists at least one policy that is better than all the others: this is the optimal policy \pi^*.
We note V^*(s) and Q^*(s, a) the optimal value of the different states and actions under \pi^*.
V^* (s) = \max_{\pi} V^{\pi}(s) \quad \forall s \in \mathcal{S}
Q^* (s, a) = \max_{\pi} Q^{\pi}(s, a) \quad \forall s \in \mathcal{S}, \quad \forall a \in \mathcal{A}
When the policy is optimal \pi^*, the link between the V and Q values is even easier.
The V and Q values are maximal for the optimal policy: there is no better alternative.

a^* = \text{argmax}_a \, Q^*(s, a)
Q^*(s, a) = \mathbb{E}_{\rho_{\pi^*}} [R_t]
\pi^*(s, a) = \begin{cases} 1 \; \text{if} \; a = a^* \\ 0 \; \text{otherwise.} \end{cases}
V^* (s) = \max_{a \in \mathcal{A}(s)} Q^{\pi^*} (s, a)

The expected return after being in s is the same as the expected return after being in s and choosing the optimal action a^*, as this is the only action that can be taken.
This allows to find the Bellman optimality equation for V^*:
V^* (s) = \max_{a \in \mathcal{A}(s)} \sum_{s' \in \mathcal{S}} p(s' | s, a) \, [ r(s, a, s') + \gamma \, V^{*} (s') ]
Q^* (s, a) = \sum_{s' \in \mathcal{S}} p(s' | s, a) \, [r(s, a, s') + \gamma \max_{a' \in \mathcal{A}(s')} Q^* (s', a') ]

Dynamic Programming (DP) iterates over two steps:
Policy evaluation
V^{\pi} (s) = \sum_{a \in \mathcal{A}(s)} \pi(s, a) \, \sum_{s' \in \mathcal{S}} p(s' | s, a) \, [ r(s, a, s') + \gamma \, V^{\pi} (s') ]
Policy improvement
\pi' \leftarrow \text{Greedy}(V^\pi)
V^{\pi} (s) = \sum_{a \in \mathcal{A}(s)} \pi(s, a) \, \sum_{s' \in \mathcal{S}} p(s' | s, a) \, [ r(s, a, s') + \gamma \, V^{\pi} (s') ]

\mathcal{P}_{ss'}^\pi = \sum_{a \in \mathcal{A}(s)} \pi(s, a) \, p(s' | s, a)
\mathcal{R}_{s}^\pi = \sum_{a \in \mathcal{A}(s)} \pi(s, a) \, \sum_{s' \in \mathcal{S}} \, p(s' | s, a) \ r(s, a, s')
The Bellman equation becomes V^{\pi} (s) = \mathcal{R}_{s}^\pi + \gamma \, \displaystyle\sum_{s' \in \mathcal{S}} \, \mathcal{P}_{ss'}^\pi \, V^{\pi} (s')
As we have a fixed policy during the evaluation, the Bellman equation is simplified.
V^{\pi} (s) = \mathcal{R}_{s}^\pi + \gamma \, \sum_{s' \in \mathcal{S}} \, \mathcal{P}_{ss'}^\pi \, V^{\pi} (s')
\mathbf{V}^\pi = \begin{bmatrix} V^\pi(s_1) \\ V^\pi(s_2) \\ \vdots \\ V^\pi(s_n) \\ \end{bmatrix}
\mathbf{R}^\pi = \begin{bmatrix} \mathcal{R}^\pi(s_1) \\ \mathcal{R}^\pi(s_2) \\ \vdots \\ \mathcal{R}^\pi(s_n) \\ \end{bmatrix}
\mathcal{P}^\pi = \begin{bmatrix} \mathcal{P}_{s_1 s_1}^\pi & \mathcal{P}_{s_1 s_2}^\pi & \ldots & \mathcal{P}_{s_1 s_n}^\pi \\ \mathcal{P}_{s_2 s_1}^\pi & \mathcal{P}_{s_2 s_2}^\pi & \ldots & \mathcal{P}_{s_2 s_n}^\pi \\ \vdots & \vdots & \vdots & \vdots \\ \mathcal{P}_{s_n s_1}^\pi & \mathcal{P}_{s_n s_2}^\pi & \ldots & \mathcal{P}_{s_n s_n}^\pi \\ \end{bmatrix}
\begin{bmatrix} V^\pi(s_1) \\ V^\pi(s_2) \\ \vdots \\ V^\pi(s_n) \\ \end{bmatrix} = \begin{bmatrix} \mathcal{R}^\pi(s_1) \\ \mathcal{R}^\pi(s_2) \\ \vdots \\ \mathcal{R}^\pi(s_n) \\ \end{bmatrix} + \gamma \, \begin{bmatrix} \mathcal{P}_{s_1 s_1}^\pi & \mathcal{P}_{s_1 s_2}^\pi & \ldots & \mathcal{P}_{s_1 s_n}^\pi \\ \mathcal{P}_{s_2 s_1}^\pi & \mathcal{P}_{s_2 s_2}^\pi & \ldots & \mathcal{P}_{s_2 s_n}^\pi \\ \vdots & \vdots & \vdots & \vdots \\ \mathcal{P}_{s_n s_1}^\pi & \mathcal{P}_{s_n s_2}^\pi & \ldots & \mathcal{P}_{s_n s_n}^\pi \\ \end{bmatrix} \times \begin{bmatrix} V^\pi(s_1) \\ V^\pi(s_2) \\ \vdots \\ V^\pi(s_n) \\ \end{bmatrix}
leads to the same equations as:
V^{\pi} (s) = \mathcal{R}_{s}^\pi + \gamma \, \sum_{s' \in \mathcal{S}} \, \mathcal{P}_{ss'}^\pi \, V^{\pi} (s')
for all states s.
\mathbf{V}^\pi = \mathbf{R}^\pi + \gamma \, \mathcal{P}^\pi \, \mathbf{V}^\pi
\mathbf{V}^\pi = \mathbf{R}^\pi + \gamma \, \mathcal{P}^\pi \, \mathbf{V}^\pi
(\mathbb{I} - \gamma \, \mathcal{P}^\pi ) \times \mathbf{V}^\pi = \mathbf{R}^\pi
where \mathbb{I} is the identity matrix, what gives:
\mathbf{V}^\pi = (\mathbb{I} - \gamma \, \mathcal{P}^\pi )^{-1} \times \mathbf{R}^\pi
Done!
But, if we have n states, the matrix \mathcal{P}^\pi has n^2 elements.
Inverting \mathbb{I} - \gamma \, \mathcal{P}^\pi requires at least \mathcal{O}(n^{2.37}) operations.
Forget it if you have more than a thousand states (1000^{2.37} \approx 13 million operations).
In dynamic programming, we will use iterative methods to estimate \mathbf{V}^\pi.
V_0 \rightarrow V_1 \rightarrow V_2 \rightarrow \ldots \rightarrow V_k \rightarrow V_{k+1} \rightarrow \ldots \rightarrow V^\pi

\mathbf{V}_{k+1} = \mathbf{R}^\pi + \gamma \, \mathcal{P}^\pi \, \mathbf{V}_k
V_{k+1} (s) \leftarrow \sum_{a \in \mathcal{A}(s)} \pi(s, a) \, \sum_{s' \in \mathcal{S}} p(s' | s, a) \, [ r(s, a, s') + \gamma \, V_k (s') ] \quad \forall s \in \mathcal{S}
We start with dummy (e.g. random) initial estimates V_0(s) for the value of every state s.
V_\infty = V^{\pi} is a fixed point of this update rule because of the uniqueness of the solution to the Bellman equation.
For a fixed policy \pi, initialize V(s)=0 \; \forall s \in \mathcal{S}.
while not converged:
for all states s:
\delta =0
for all states s:
\delta = \max(\delta, |V(s) - V_\text{target}(s)|)
V(s) = V_\text{target}(s)
if \delta < \delta_\text{threshold}:
Q^{\pi} (s, a) = \sum_{s' \in \mathcal{S}} p(s' | s, a) \, [r(s, a, s') + \gamma \, V^{\pi}(s') ]

Q^{\pi} (s, a) > Q^{\pi} (s, \pi(s)) = V^{\pi}(s)
then it is better to select a once in s and thereafter follow \pi.
\pi(s) \leftarrow \text{argmax}_a \, Q^{\pi} (s, a) = \text{argmax}_a \, \sum_{s' \in \mathcal{S}} p(s' | s, a) \, [r(s, a, s') + \gamma \, V^{\pi}(s') ]
\text{argmax}_a \; Q^{\pi} (s, a) \geq Q^\pi(s, \pi(s))
This defines an improved policy \pi', where all states and actions have a higher value than previously.
Greedy action selection over the state value function implements policy improvement:
\pi' \leftarrow \text{Greedy}(V^\pi)

\pi_0 \xrightarrow[]{E} V^{\pi_0} \xrightarrow[]{I} \pi_1 \xrightarrow[]{E} V^{\pi^1} \xrightarrow[]{I} ... \xrightarrow[]{I} \pi^* \xrightarrow[]{E} V^{*}

The optimal policy being deterministic, policy improvement can be greedy over the state-action values.
If the policy does not change after policy improvement, the optimal policy has been found.
Initialize a deterministic policy \pi(s) and set V(s)=0 \; \forall s \in \mathcal{S}.
while \pi is not optimal:
while not converged: # Policy evaluation
for all states s:
for all states s:
for each state s \in \mathcal{S}: # Policy improvement
if \pi has not changed: break
One drawback of policy iteration is that it uses a full policy evaluation, which can be computationally exhaustive as the convergence of V_k is only at the limit and the number of states can be huge.
The idea of value iteration is to interleave policy evaluation and policy improvement, so that the policy is improved after EACH iteration of policy evaluation, not after complete convergence.
As policy improvement returns a deterministic greedy policy, updating of the value of a state is then simpler:
V_{k+1}(s) = \max_a \sum_{s'} p(s' | s,a) [r(s, a, s') + \gamma \, V_k(s') ]
Note that this is equivalent to turning the Bellman optimality equation into an update rule.
Value iteration converges to V^*, faster than policy iteration, and should be stopped when the values do not change much anymore.
Initialize a deterministic policy \pi(s) and set V(s)=0 \; \forall s \in \mathcal{S}.
while not converged:
for all states s:
\delta = 0
for all states s:
\delta = \max(\delta, |V(s) - V_\text{target}(s)|)
V(s) = V_\text{target}(s)
if \delta < \delta_\text{threshold}:

Policy-iteration and value-iteration consist of alternations between policy evaluation and policy improvement.
This principle is called Generalized Policy Iteration (GPI).
Solving the Bellman equations requires the following:
accurate knowledge of environment dynamics p(s' | s, a) and r(s, a, s') for all transitions (model-based);
enough memory and time to do the computations;
the Markov property.
Finding an optimal policy is polynomial in the number of states and actions: \mathcal{O}(N^2 \, M) (N is the number of states, M the number of actions).
The number of states is often astronomical (e.g., Go has about 10^{170} states), often growing exponentially with the number of state variables (what Bellman called “the curse of dimensionality”).
In practice, classical DP can only be applied to problems with a few millions of states.
If one variable can be represented by 5 discrete values:
2 variables necessitate 25 states,
3 variables need 125 states, and so on…
The number of states explodes exponentially with the number of dimensions of the problem.